Exploring Faecal Sludge Characteristics of Pit Latrines in Kampala, Uganda

Author

Mercy Hinga

Published

January 30, 2026

Introduction

Faecal sludge characteristics play a critical role in the design and performance of sanitation treatment and resource recovery systems. Faecal sludge (FS) characterization is a critical first step in FS management, providing the basis for designing and sizing treatment plant components and reducing associated environmental and public health risks (Ahmed et al. 2019; Ouedraogo et al. 2023). Understanding the organic, nutrient, and solids content of pit latrine faecal sludge is therefore essential for informing treatment strategies and reuse potential. This study explores the physicochemical characteristics of pit latrine faecal sludge in Kampala, with a focus on organic load, nutrients, and solids fractions, using secondary data from field measurements.

Methods

The analysis was based on a CSV dataset containing faecal sludge characteristics collected from pit latrines in Kampala (Englund et al. 2020) . Raw data were imported into R and processed by removing metadata rows, selecting relevant physicochemical parameters, and converting character values to numeric format while retaining missing values. The dataset was then filtered to include pit latrine samples only. Descriptive statistics (mean, median, and standard deviation) were calculated for key parameters, and exploratory visualisations were produced to examine distributions and relationships between variables. All data processing and analysis were conducted using R and tidyverse packages.

Installed Packages

Code
library(tidyverse)
library(here)
library(dplyr)
library(gt)
library(knitr)
library(ggplot2)

Importing raw data

Code
raw_data <- read_csv(here::here("data/raw/FS-kampala-data.csv"))

Processed Data

Code
raw_data <- read_delim(
  here("data/raw/FS-kampala-data.csv"),
  delim = ";",
  show_col_types = FALSE
)

#Cleaning raw data
processed_data <- raw_data |>
  select(CoTyp, "COD g/L":last_col()) |>
  slice(-1) |>
  mutate(
    across(
      -CoTyp,
      readr::parse_number
    )
  )

write_csv(
  processed_data,
  here("data/processed/FS_kampala_processed.csv")
)

Pit latrine data

Code
pit_data <- processed_data |>
  filter(CoTyp == "Pit latrine") |>
  select(-CoTyp, -"COD mg/L")

Results

Descriptive characteristics of faecal sludge

Pit latrine faecal sludge exhibited substantial variability across all measured physicochemical parameters as shown in Table 1. Organic matter concentrations, represented by chemical oxygen demand (COD) and volatile solids (VS), showed wide ranges and high standard deviations, indicating heterogeneous sludge composition across samples. Median values were generally lower than mean values, suggesting right-skewed distributions influenced by high-strength samples. Solids-related parameters (TS, TSS, VS, and VSS) also displayed pronounced dispersion, reflecting differences in pit usage, moisture content, accumulation processes, and potential dilution effects. Nutrient concentrations, particularly total nitrogen (TN) and total phosphorus (TP), were highly variable, highlighting non-uniform nutrient accumulation and transformation within pit latrines.

Code
summary_tbl <- pit_data |>
  select(where(is.numeric)) |>
  pivot_longer(
    everything(),
    names_to = "parameter",
    values_to = "value"
  ) |>
  group_by(parameter) |>
  summarise(
    mean   = mean(value, na.rm = TRUE),
    median = median(value, na.rm = TRUE),
    sd     = sd(value, na.rm = TRUE),
  
  ) |>
  pivot_longer(
    -parameter,
    names_to = "stat",
    values_to = "value"
  ) |>
  pivot_wider(
    names_from = parameter,
    values_from = value
  )
Code
summary_tbl |>
  mutate(
    stat = case_when(
      stat == "mean"   ~ "Mean",
      stat == "median" ~ "Median",
      stat == "sd"     ~ "SD",
      TRUE ~ stat
    )
  ) |>
  gt(rowname_col = "stat") |>
  tab_stubhead(label = "Parameters") |>
  cols_label(
    "Fixed solids g/L" = "FS g/L",
    "NH4N mg/L" = "NH₄–N mg/L",
   "Nitrate mg/L" = "NO₃⁻N mg/L",
  "PO4P mg/L"    = "PO₄–P mg/L"
  ) |>
  fmt_number(
    columns = where(is.numeric),
    decimals = 0
  ) 
Table 1: Summary statistics of pit parameters.
Parameters COD g/L CODsol mg/L FS g/L NH₄–N mg/L NO₃⁻N mg/L PO₄–P mg/L TN mg/L TP mg/L TS g/L TSS g/L VS g/L VSS g/L
Mean 33 5,523 13 1,369 17 102 2,910 546 32 26 20 16
Median 25 4,732 9 1,422 14 82 2,887 387 24 19 15 11
SD 25 4,438 17 680 11 63 1,389 449 26 28 16 15

Relationships between parameters

Strong relationships were observed between organic strength and solids content in pit latrine faecal sludge. Chemical oxygen demand increased consistently with increasing volatile solids concentrations, indicating that higher organic solids content corresponds to increased organic load. This pattern highlights the close linkage between solids accumulation and organic strength within pit latrines. Figure 1 illustrates the relationship between chemical oxygen demand and volatile solids in pit latrine faecal sludge.

Code
# calculate correlation
rho <- cor(
  pit_data$`COD g/L`,
  pit_data$`VS g/L`,
  method = "spearman",
  use = "complete.obs"
)

# plot
ggplot(pit_data, aes(x = `VS g/L`, y = `COD g/L`)) +
  geom_point(alpha = 0.6, size = 1) +
  geom_smooth(method = "lm", se = FALSE) +
  theme_minimal() +
  labs(
    x = "Volatile solids (g/L)",
    y = "Chemical oxygen demand (g/L)",
    caption = paste0("Spearman \u03C1 = ", round(rho, 2))
  )
Figure 1: Relationship between chemical oxygen demand (COD) and volatile solids (VS) in pit latrine faecal sludge.

The proportions of volatile solids within both total and suspended solids were consistently high across samples. Most observations fell within intermediate VS/TS and VSS/TSS ratio ranges, indicating that a substantial fraction of both total and suspended solids is volatile. These ratios suggest the presence of a significant biodegradable fraction in pit latrine sludge, while the observed variability reflects differences in solids stabilisation between pits. Figure 2 shows the distribution of VS/TS and VSS/TSS ratios across pit latrine samples.

Code
ratio_bins <- pit_data |>
  mutate(
    VS_TS   = `VS g/L` / `TS g/L`,
    VSS_TSS = `VSS g/L` / `TSS g/L`
  ) |>
  select(VS_TS, VSS_TSS) |>
  pivot_longer(
    cols = c(VS_TS, VSS_TSS),
    names_to = "Ratio",
    values_to = "Value"
  ) |>
  filter(!is.na(Value), is.finite(Value)) |>
  mutate(
    Ratio = recode(Ratio,
                   VS_TS   = "VS/TS",
                   VSS_TSS = "VSS/TSS"),
    Bin = cut(
      Value,
      breaks = seq(0, 1, by = 0.1),
      include.lowest = TRUE,
      right = FALSE,
      labels = paste0(
        seq(0, 0.9, by = 0.1),
        "–",
        seq(0.1, 1.0, by = 0.1)
      )
    )
  ) |>
  filter(!is.na(Bin)) |>
  count(Ratio, Bin, name = "n")
Code
ggplot(ratio_bins, aes(y = Bin, x = n)) +
  geom_col(width = 0.95) +
  facet_wrap(~ Ratio, ncol = 1, scales = "free_y") +
  theme_minimal() +
  labs(x = "Number of pits", y = "Ratio range") +
  theme(axis.text.y = element_text(angle = 0))
Figure 2: Distribution of VS/TS and VSS/TSS in pit latrine faecal sludge

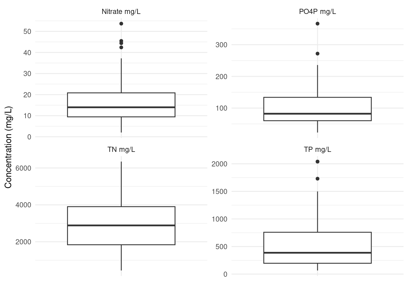
Nutrient concentrations in pit latrine faecal sludge showed considerable variability across samples as seen in Figure 3. Total nitrogen and total phosphorus exhibited particularly wide interquartile ranges compared to inorganic nutrient species such as nitrate and orthophosphate. This variability reflects differences in nutrient accumulation, degradation, and transformation processes occurring within pit latrines.

Code
nutrient_long <- pit_data |>
  select(
    "TN mg/L",
    "TP mg/L",
    "Nitrate mg/L",
    "PO4P mg/L"
  ) |>
  pivot_longer(
    cols = everything(),
    names_to = "Nutrient",
    values_to = "Concentration"
  )

ggplot(nutrient_long, aes(x = "", y = Concentration)) +
  geom_boxplot() +
  facet_wrap(~ Nutrient, scales = "free_y") +
  theme_minimal() +
  labs(
    x = NULL,
    y = "Concentration (mg/L)"
  )
Figure 3: Distribution of nutrient concentrations in pit latrine faecal sludge.

Conclusion

In summary;

  • Pit latrine faecal sludge in Kampala exhibits high variability in organic, nutrient, and solids characteristics.
  • Strong associations between COD and volatile solids indicate that organic load is closely linked to solids content.
  • VS/TS and VSS/TSS ratios suggest a significant biodegradable fraction, with implications for treatment and resource recovery.
  • Missing values and variability highlight the challenges of field data collection and the need for robust treatment design assumptions.

Disclaimer

AI tools were used to assist with code debugging and to improve grammar and clarity of the text

References

Ahmed, Issahaku, Dennis Ofori-Amanfo, Esi Awuah, and Florence Cobbold. 2019. “A Comprehensive Study on the Physicochemical Characteristics of Faecal Sludge in Greater Accra Region and Analysis of Its Potential Use as Feedstock for Green Energy.” Journal of Renewable Energy 2019 (1): 8696058.
Englund, Miriam, Juan Pablo Carbajal, Amédé Ferré, Magalie Bassan, An Thi Hoai Vu, Viet-Anh Nguyen, and Linda Strande. 2020. “Modelling Quantities and Qualities (q&q) of Faecal Sludge in Hanoi, Vietnam and Kampala, Uganda for Improved Management Solutions.” Journal of Environmental Management 261: 110202.
Ouedraogo, Noaga Inès Gwladys, Yacouba Konaté, Boukary Sawadogo, Elfried Beré, Soumaila Sodré, and Harouna Karambiri. 2023. “Characterization and Methanogenic Potential Evaluation of Faecal Sludge: Case of the Kossodo Biogas Plant in Ouagadougou.” Sustainability 15 (23): 16401.